Table of Contents
Deep Dive IBDP Physics: - E.2 Quantum Physics Teacher Resource Pack
Quantum mechanics is a realm where intuition meets imagination—and teaching it can be equally complex and exhilarating. In the IBDP Physics curriculum, the principles of wave-particle duality and quantum superposition form the backbone of modern scientific understanding. These ideas are not only conceptually rich but also pave the way for revolutionary technologies like quantum computing.
To support educators in bringing these concepts to life, we present two thoughtfully designed resources:
The Particle-Wave Duality
Understanding Quantum Superposition
These resources are aligned with the IBDP syllabus and offer immersive, hands-on activities to help students visualize and apply the fundamental concepts of quantum physics.
🌊 The Particle-Wave Duality
Curriculum Link:
Topic 3 – Quantum Physics
Topic 8 – Atomic and Nuclear Physics
This comprehensive activity introduces students to the wave-particle duality of light and matter, focusing on one of the most iconic experiments in physics: the double-slit experiment. Through a combination of practical observation and mathematical modeling, students come to understand that particles like electrons and photons exhibit both wave-like and particle-like behavior.
Learning Objectives:
Explain wave-particle duality through the behavior of photons and electrons
Conduct or simulate the double-slit experiment using light or electrons
Analyze interference patterns and relate them to the de Broglie wavelength
Explore how fringe spacing depends on wavelength and slit separation
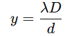
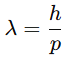
Key Equations:
Fringe spacing:

de Broglie wavelength:

Activity Highlights:
Conduct the double-slit experiment using light or simulate using software
Use electron diffraction tubes to observe interference with particles
Vary slit separation and light wavelength to explore their impact on fringe patterns
Measure angles of diffraction and calculate de Broglie wavelengths for electrons
Conceptual Takeaways:
Both photons and electrons produce interference patterns—signs of wave behavior
Measurement collapses quantum states, reinforcing quantum unpredictability
Interference proves that matter exhibits wave-like properties, not just particles.
🌀 Understanding Quantum Superposition
Curriculum Link:
Topic 3 – Quantum Physics
Topic 8 – Atomic and Nuclear Physics
Quantum Computing Applications
Quantum superposition is a mind-bending concept: a single quantum system can exist in multiple states simultaneously until it is measured. This resource demystifies the phenomenon by letting students explore qubits, quantum gates, and quantum circuits using accessible simulators like IBM Q Experience or Quirk.
Learning Objectives:
Define and apply the concept of quantum superposition
Use a quantum simulator to visualize qubit states and operations
Implement quantum logic gates (Hadamard, Pauli-X, CNOT)
Explore the idea of wavefunction collapse upon measurement
Key Concepts:

Simulation Activities:
Apply a Hadamard gate to create superposition
Measure the qubit and record probabilities
Add Pauli and CNOT gates to experiment with entanglement
Observe probability distributions over multiple runs
Educational Outcomes:
Students gain hands-on familiarity with how quantum computers operate
Builds mathematical understanding of quantum states
Connects abstract principles to real-world applications like cryptography and computing.
🎓 Why These Resources Empower IB Physics Classrooms
✔ Curriculum-Aligned and Assessment-Ready
Each resource maps directly to the IBDP core syllabus, especially:
Topic 3: Foundations of quantum mechanics
Topic 8: Atomic structure and nuclear behavior
Applications: Quantum computing, diffraction, and modern technology
✔ Hands-On and Conceptually Deep
Students do more than just read—they:
Conduct or simulate experiments
Model equations and calculate outcomes
Apply knowledge to real-world innovations
These activities cultivate higher-order thinking and inquiry-based learning, essential for excelling in both IB assessments and Internal Assessments (IA).
✔ IA Project Launchpads
These resources provide fertile ground for IA investigations. Sample questions include:
How does varying slit separation affect fringe spacing in a double-slit setup?
How do Hadamard and Pauli gates impact the measurement probabilities in a qubit?
🔍 Shopify SEO Tag Suggestions
Use these tags to boost searchability and target the right audience:
IBDP quantum physics lab resource
Wave-particle duality student experiment
Quantum superposition simulation worksheet
Qubit simulator classroom activity
IB Physics double-slit fringe spacing tool
Quantum gates and circuits teaching material
de Broglie wavelength exploration
Superposition and wavefunction collapse in physics
🚀 Make Quantum Mechanics Tangible and Inspiring
Teaching quantum physics can feel daunting, but with the right tools, it becomes a journey of discovery. These two resources—on wave-particle duality and quantum superposition—turn abstract ideas into observable, measurable, and memorable experiences.
With these classroom-tested materials, you’ll:
Give students clarity in core quantum principles
Foster critical analysis, simulation skills, and experimental inquiry
Inspire curiosity about the future of computing, materials, and physics itself
👉 Equip your students with the knowledge and confidence to explore the quantum world. Add these essential resources to your IBDP Physics collection today.
DP PHY E.2 Quantum Physics Teacher Resource Pack
$49.00
Deliver powerful lessons on evolution, environmental change, and sustainability with Edspry’s ready-to-use IBDP Physics resource pack Aligned with the 2023 IB Diploma Physics subject guide, this pack explores the dynamic interplay between ecosystems and change, covering essential topics like natural… read more